Сотрудники кафедры вычислительной физики КФУ в составе международной исследовательской группы совместно с исследователями из
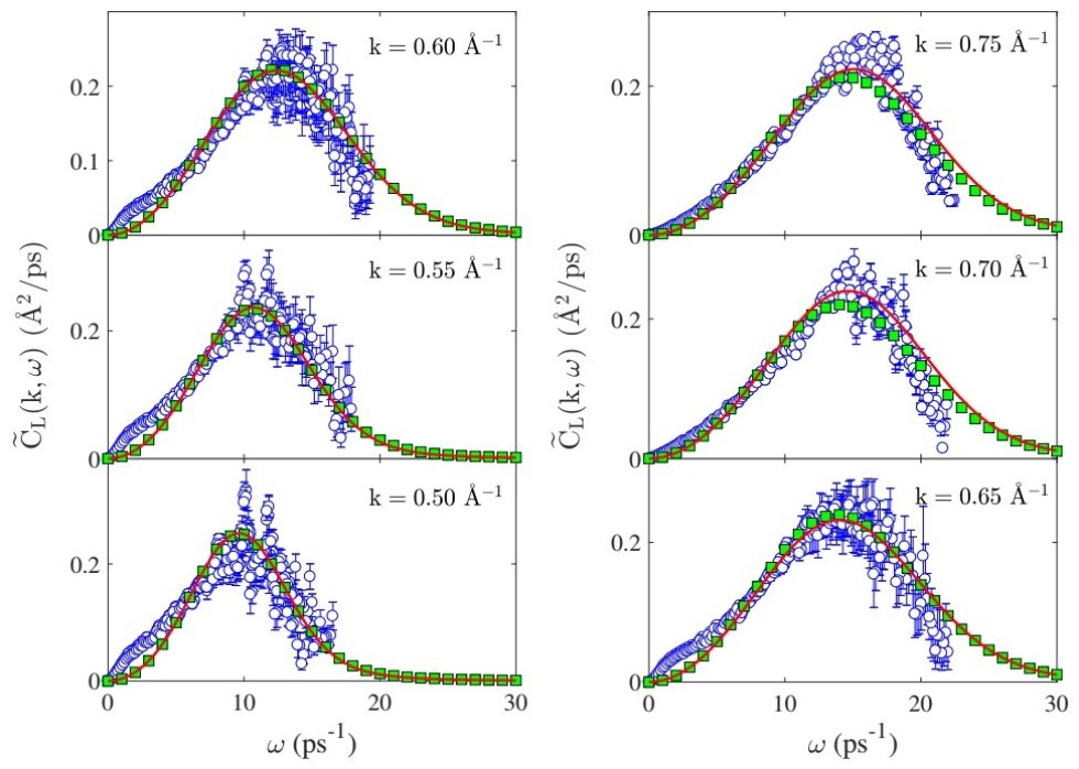
получили экспериментальные подтверждения наличия в жидкости типичного твердотельного свойства – сдвиговой жесткости. Результаты получены для случая расплава галлия.
Ключевой особенностью работы является то, что выполнено комплексное исследование, включающее в себя (а) эксперименты по неупругому рассеянию нейтронов (ISIS Mary), (б) крупномасштабные молекулярно-динамические расчеты (вычислительный кластер КФУ и суперкомпьютер Межведомственного Суперкомпьютерного Центра Российской Академии Наук) и (в) теоретическое объяснение в рамках оригинальной самосогласованной релаксационной теории жидкого состояния.
Для справки: Жидкий галлий – вещество, обладающее рядом специфических и необычных свойств. Галлий характеризуется обширным температурным диапазоном существования жидкой фазы (303 – 2500 K) и низким давлением насыщенных паров при T < 1400 K, что делает его перспективным теплоносителем с выдающимися термогидравлическими свойствами. Так, например, недавно было предложено использовать галлий в качестве рабочего вещества самоохлаждающейся мишени фотон–нейтронного конвертора на пучке электронного ускорителя в проекте компактного экологически чистого источника для нейтрон-захватной терапии.
Исследование было выполнено при поддержке Российского Научного Фонда.
Результаты работы будут опубликованы в статье [R. M. Khusnutidinoff, C. Cockrell, O. A. Dicks, A. C. S. Jensen, M. D. Le, L. Wang, M. T. Dove, A. V. Mokshin, V. V. Brazhkin, and K. Trachenko, Collective modes and gapped momentum states in liquid Ga: Experiment, theory, and simulation, Physical Review B (2020)].
Ссылка на статью:
https://journals.aps.org/prb/accepted/b307cOf7F611503e486042d64f74e71089a5a9ed5

